Research Academic News

Home / Research Academic News / 2026

A Resource-Virtualized and Hardware-Aware Quantum Compilation Framework for Real Quantum Computing Processors

2026-01-17

Research Background


With the rapid expansion of quantum computing hardware, efficiently compiling high-level quantum programs to run on physical quantum chips has become one of the central challenges in the field of quantum compilation. Most mainstream compilation frameworks currently map logical circuits directly onto the entire chip. However, in practice, quantum chips often exhibit uneven noise distribution and partial qubit failures, limiting the effectiveness of traditional mapping strategies and preventing optimal utilization of high-quality hardware regions. At the same time, as quantum computing moves rapidly toward cloud services and heterogeneous multi-backend environments, unified resource management and hardware-aware compilation are becoming increasingly critical.

 

Research Progress


To address these challenges, the research team has innovatively developed the QSteed quantum compilation framework, which introduces quantum resource virtualization and a select-before-compile mechanism at the system level. The overall architecture of QSteed, as shown in Figure 1, consists of two core components:

 

On the hardware side, QSteed incorporates a quantum resource manager that proactively identifies high-quality subregions within a quantum chip using heuristic algorithms. It constructs a multi-level virtualization model, including Real Quantum Processing Units (QPU), Standard Quantum Processing Units (StdQPU), Substructure Quantum Processing Units (SubQPU), and Virtual Quantum Processing Units (VQPU). These abstracted entities are stored in a unified virtualization database, enabling consistent management, query, and invocation of multiple quantum backends. This provides a robust foundation for higher-level compiler optimizations.

 

On the compiler side, the system first selects the optimal VQPU from the database based on the structural characteristics or fidelity requirements of the input quantum circuit. The compiler then performs hardware-aware compilation within the chosen VQPU, including multi-qubit gate decomposition, noise-aware qubit mapping, and routing. By restricting optimization to the selected VQPU, QSteed effectively reduces the search space, achieving both higher efficiency and greater execution fidelity.

 

 

Figure 1. System Architecture of QSteed

 

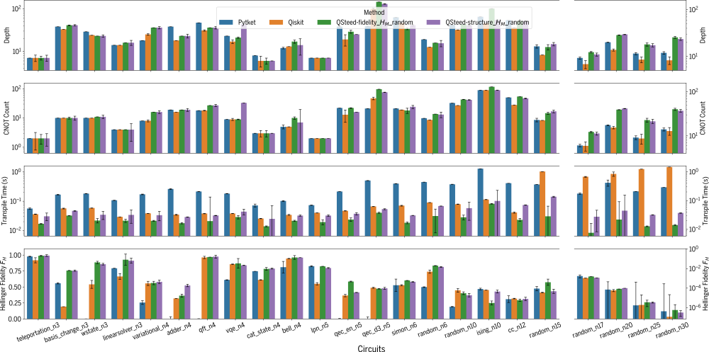
QSteed has been successfully deployed and validated on the Quafu superconducting quantum computing cloud platform developed by the Beijing Academy of Quantum Information Sciences (BAQIS). As shown in Figure 2, evaluation results on the “Baihua” chip demonstrate that QSteed outperforms mainstream compilers such as Qiskit and Pytket in most benchmark circuits, achieving shorter compilation times and higher circuit execution fidelities. The performance boost primarily stems from the synergistic effects of the prebuilt VQPU database and QSteed’s hardware-aware compilation strategy.

 

 

Figure 2. Performance Comparison of Different Quantum Compilers on the Baihua Chip

 

Future Outlook


QSteed introduces a novel approach to multi-backend resource management and hardware-adaptive quantum compilation for quantum computing cloud platforms. It also provides a viable pathway toward unified resource management and collaborative compilation across heterogeneous quantum systems, including superconducting qubits, trapped ions, and neutral atoms. As the quantum computing ecosystem continues to evolve, QSteed is expected to serve as a foundational technology for enabling efficient execution of large-scale quantum workloads in the future.

 

Journal

Research

 

DOI

10.34133/research.0632

 

Method of Research

News article

 

Subject of Research

Not applicable

 

Article Title

A Resource-Virtualized and Hardware-Aware Quantum Compilation Framework for Real Quantum Computing Processors

 

Article Publication Date

5-October-2025

 

Media Contact

Tian Tian

Research

tiantian@cast.org.cn

 

Expert Contacts

Dong E. Liu

State Key Laboratory of LowDimensional Quantum Physics, Department of Physics, Tsinghua University, Beijing, China. Beijing Academy of Quantum Information Sciences, Beijing, China.

dongeliu@mail.tsinghua.edu.cn

 

More on this News Release

A Resource-Virtualized and Hardware-Aware Quantum Compilation Framework for Real Quantum Computing Processors

Research

 

 

Journal

Research

 

Funder

This work is supported by the Beijing Natural ScienceFoundation, the National Natural ScienceFoundation of China, the InnovationProgram for Quantum Science and Technology.

 

DOI

10.34133/research.0947

 

Keywords

Quantum computing; Quantum compilation; Quantum cloud computing; Quantum circuit optimization; Quantum programming

 

Original Source

https://spj.science.org/doi/10.34133/research.0947

+